Examples on calculating correlation coefficient.
To calculating correlation coefficient:
There are three methods of calculating
r.
i.
Actual
Mean method.
ii. Step Deviation Method.
iii. Assumed Mean Method.
We see the one by one methods


The another method of calculating the correlation is Spearman's Rank Correlation.
this is an another method of calculating the correlation coefficient in simple way than the Karl Pearson’s
developed by Spearman's. in this method the correlation is calculated based on the rank of the observations.
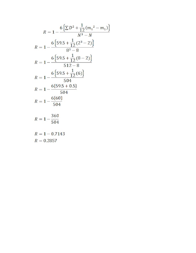
the rank correlation coefficient between x and y is 0.2857







Comments
Post a Comment